Dataset Browser

d activity 4 1 industrial revolution answers

d activity 4 1 industrial revolution answers

Explore comprehensive answers for Activity 4.1 on the Industrial Revolution. This valuable resource provides detailed solutions and insights, serving as an excellent study guide to help you master key concepts and historical impacts of this pivotal period. Perfect for students seeking to deepen their understanding of industrialization.

Of Or True Evolution False Theory Answers

Of Or True Evolution False Theory Answers

Delve into the complex discussion surrounding evolution, exploring the core distinctions between true evolution and common misconceptions. This resource offers insightful answers regarding evolutionary theory, critically examining arguments that label evolution as false. Gain a clearer understanding of the evidence and scientific consensus behind one of biology's foundational principles.

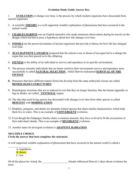
Vocabulary Biology 3 Answer Evolution Unit Key

Vocabulary Biology 3 Answer Evolution Unit Key

Explore a comprehensive biology evolution vocabulary guide, perfect for mastering evolution unit 3 study guide content. This resource provides key biological terms evolution definitions and evolutionary biology answers to help you understand complex concepts. Enhance your learning with essential high school biology evolution answers and concepts.

evidence for evolution packet answer key

evidence for evolution packet answer key

Unlock the essential insights into evidence for evolution with our comprehensive packet answer key. This invaluable resource provides clear, accurate solutions and detailed explanations, guiding students through key concepts of evolutionary evidence. Perfect for biology evolution answers and effective proof of evolution study, ensuring a deeper understanding of this fundamental scientific theory.

Revolution Answers Questions American

Revolution Answers Questions American

Explore how the American Revolution provided critical answers to fundamental questions facing the early colonists, shaping not only the nascent United States but also laying the groundwork for enduring principles of political change. This pivotal period in US history offers revolutionary insights into governance, independence, and the societal impact of profound historical shifts, addressing historical questions that continue to resonate today.

Crossword Puzzle American Revolution Answers

Crossword Puzzle American Revolution Answers

Unlock all the challenging American Revolution crossword answers you've been searching for. Our comprehensive guide provides accurate solutions to various Revolutionary War puzzles, helping you conquer those tricky clues and deepen your understanding of this pivotal era in US history. Whether you're a student or a history enthusiast, find the help you need to complete your American Revolution crosswords with ease.

Key American Revolution Industrial Quiz Answers

Key American Revolution Industrial Quiz Answers

Unlock all the essential answers for your American Revolution and Industrial Era quiz, designed to test your knowledge across two pivotal periods. This comprehensive resource provides key facts on the Revolutionary War, the formation of the United States, and the early developments and impacts of the Industrial Revolution, offering reliable solutions for students and history enthusiasts alike.

document based activities the american revolution answers

document based activities the american revolution answers

Explore comprehensive document-based activities related to the American Revolution, offering detailed answers and insights. Perfect for students and educators, this resource provides engaging materials to analyze pivotal historical events and primary sources from this formative period in U.S. history.