Dataset Browser

Mechanical Engineering 8ed Design

Mechanical Engineering 8ed Design

Explore the foundational and updated principles of mechanical engineering design with this 8th edition resource, perfect for students and seasoned professionals alike. This comprehensive guide delves into critical concepts, methodologies, and practical applications for developing robust and efficient machine components and systems, ensuring a deep understanding of modern engineering design challenges and solutions.

Design Mcgraw Engineering Hill Mechanical

Design Mcgraw Engineering Hill Mechanical

Explore essential resources for mechanical engineering design from McGraw Hill, covering fundamental engineering principles and practical applications. Whether you're a student or a seasoned professional, delve into advanced methodologies and problem-solving techniques crucial for successful mechanical design projects and a deeper understanding of engineering innovation.

Download Design Of Machine Elements Book Jayakumar

Download Design Of Machine Elements Book Jayakumar

Access the essential 'Design of Machine Elements' book by Jayakumar, a crucial resource for mechanical engineering students and professionals. This comprehensive guide provides in-depth knowledge on machine design principles, making it an invaluable download for understanding fundamental concepts and practical applications.

Design Of Machinery Solution Manual 5th Edition

Design Of Machinery Solution Manual 5th Edition

Access the comprehensive Design of Machinery Solution Manual for the 5th Edition, providing detailed answers and step-by-step explanations for all textbook problems. Ideal for students and instructors, this manual is an essential resource to master mechanical design principles and thoroughly understand complex machinery concepts. Enhance your learning and ensure accuracy with these expert-verified solutions.

Design 7th Engineering Shigleys Edition Solutions Mechanical

Design 7th Engineering Shigleys Edition Solutions Mechanical

Unlock comprehensive solutions for Shigley's Mechanical Engineering Design, 7th Edition. This essential resource provides detailed, step-by-step answers to complex problems, helping students and professionals master mechanical design principles and practical applications for enhanced understanding and academic success.

Mechanical Engineering Design Shigley 9th

Mechanical Engineering Design Shigley 9th

Explore the comprehensive principles of mechanical engineering design with Shigley's Mechanical Engineering Design, 9th Edition. This widely recognized textbook provides a thorough understanding of design methodologies, materials, and analysis techniques crucial for aspiring and practicing mechanical engineers. Learn about stress analysis, fatigue failure, component design, and much more, all presented in a clear and accessible manner, making it an indispensable resource for your engineering journey.

Machine Design An Integrated Approach 3rd Edition

Machine Design An Integrated Approach 3rd Edition

Explore the comprehensive Machine Design: An Integrated Approach, 3rd Edition, offering a holistic perspective on mechanical engineering design. This essential resource covers fundamental engineering principles, practical applications, and advanced techniques, making it ideal for students and professionals seeking a deep understanding of modern machine component design.

Shigley39s Mechanical Engineering Design 8th Edition

Shigley39s Mechanical Engineering Design 8th Edition

Explore the foundational concepts of machine design with Shigley's Mechanical Engineering Design 8th Edition, an authoritative textbook for students and practicing engineers. This comprehensive resource delves into the principles of stress, strain, fatigue, and failure analysis, equipping readers with the essential knowledge and practical methodologies for designing robust and efficient mechanical components and systems. Renowned for its clear explanations and practical examples, it remains a go-to guide for anyone mastering mechanical engineering design principles.

mechanical engineering design shigley 8th edition

mechanical engineering design shigley 8th edition

Explore the foundational principles of mechanical engineering design with Shigley's 8th edition, a comprehensive guide essential for students and professionals. This authoritative textbook delves into critical concepts like stress analysis, material selection, and the design of various machine elements, providing practical insights and problem-solving methodologies crucial for real-world engineering applications.

mechanical engineering design 8th edition solution manual

mechanical engineering design 8th edition solution manual

Looking for the Mechanical Engineering Design 8th Edition Solution Manual? This page provides access to resources for understanding and solving problems from the popular textbook. Find solutions to enhance your understanding of mechanical design principles and improve your problem-solving skills using this comprehensive solution guide. Whether you're a student or a practicing engineer, this resource can help you master the concepts presented in the 8th edition of this important textbook.

Shigleys Mechanical Engineering Design Solutions Scribd

Shigleys Mechanical Engineering Design Solutions Scribd

Explore comprehensive mechanical engineering design solutions from Shigley's, a trusted resource for students and professionals. This essential guide on Scribd delves into fundamental principles, analytical methods, and practical applications for robust machine and component design, covering everything from stress analysis to fatigue and failure prevention.

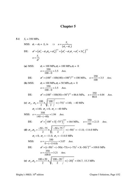
Shigleys Mechanical Engineering Design 9th Edition Solutions Manual Chapter 5

Shigleys Mechanical Engineering Design 9th Edition Solutions Manual Chapter 5

Explore comprehensive, step-by-step solutions for Chapter 5 of Shigley's Mechanical Engineering Design, 9th Edition. This manual provides detailed explanations and worked-out examples, essential for mastering key concepts and successfully solving problems in mechanical engineering design.