Dataset Browser

Fundamentals Of Fluid Mechanics 5th Edition Solution Manual Pdf

Fundamentals Of Fluid Mechanics 5th Edition Solution Manual Pdf

Unlock comprehensive understanding of fluid mechanics with this essential solution manual for the 5th Edition. This PDF resource provides detailed, step-by-step answers to problems from 'Fundamentals of Fluid Mechanics', perfect for students and professionals seeking to master complex concepts and problem-solving techniques in fluid dynamics.

solution manual fundamental fluid mechanics cengel 7th

solution manual fundamental fluid mechanics cengel 7th

Unlock a deeper understanding of fluid dynamics with the official Solution Manual for Fundamental Fluid Mechanics by Cengel, 7th Edition. This comprehensive guide provides detailed, step-by-step solutions to all textbook problems, perfect for students seeking to master complex concepts, prepare for exams, and enhance their problem-solving skills in engineering.

Pytel Mechanics Engineering Dynamics Solution

Pytel Mechanics Engineering Dynamics Solution

Explore comprehensive solutions for Pytel Mechanics Engineering Dynamics, an essential resource for mastering complex problems in motion and forces. This guide offers clear, step-by-step methodologies designed to enhance understanding and problem-solving skills for students and professionals tackling challenging engineering dynamics scenarios, providing invaluable support for academic and practical applications.

Fluid Mechanics With Engineering Applications Solution Manual

Fluid Mechanics With Engineering Applications Solution Manual

Explore the comprehensive "Fluid Mechanics With Engineering Applications Solution Manual," an invaluable resource designed to guide students and professionals through complex problems in fluid dynamics. This essential guide provides detailed, step-by-step solutions, enhancing your understanding of engineering fluid applications and building crucial problem-solving skills for various engineering disciplines.

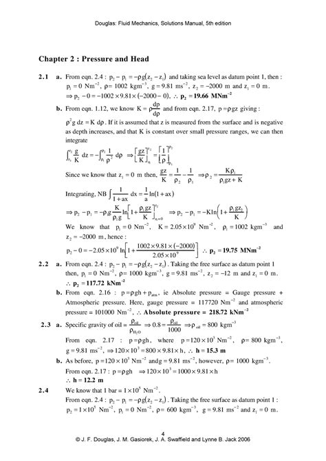
douglas fluid mechanics solution manual

douglas fluid mechanics solution manual

Unlock a deeper understanding of fluid mechanics with the complete Douglas Fluid Mechanics Solution Manual. This essential resource provides comprehensive, step-by-step solutions to all textbook problems, helping students grasp complex concepts, verify their work, and achieve academic excellence in fluid dynamics.

Shames Solution Manual Mechanics

Shames Solution Manual Mechanics

Access the essential Shames Solution Manual for Mechanics, providing comprehensive, step-by-step answers to problems found in the renowned engineering mechanics textbook. This indispensable resource is perfect for students studying statics and dynamics, offering clarity, helping to solidify understanding, and enabling effective self-study and verification of solutions for mechanical engineering courses.

advanced soil mechanics solution manual

advanced soil mechanics solution manual

Unlock complex geotechnical challenges with this advanced soil mechanics solution manual, providing detailed, step-by-step answers and explanations. Perfect for students and professionals seeking to master advanced concepts and verify problem solutions in civil and geotechnical engineering.

goldstein classical mechanics solution manual

goldstein classical mechanics solution manual

This comprehensive solution manual for Goldstein's Classical Mechanics offers detailed, step-by-step solutions to all end-of-chapter problems. Designed to enhance understanding for advanced undergraduate and graduate physics students, it is an indispensable resource for mastering the complex theoretical framework and practical applications of classical mechanics.

Modern Quantum Mechanics Solution Manual Pdf

Modern Quantum Mechanics Solution Manual Pdf

Access the essential Modern Quantum Mechanics solution manual PDF designed to help students master challenging concepts and solve advanced quantum mechanics problems. This comprehensive guide provides step-by-step quantum mechanics textbook answers and detailed explanations, making it an invaluable resource for anyone studying modern physics problem solutions. Enhance your understanding and excel in your coursework with this readily available digital resource.

Elementary Vennard Mechanics Fluid 7th Solution

Elementary Vennard Mechanics Fluid 7th Solution

This comprehensive solution manual provides detailed, step-by-step answers for problems found in 'Elementary Fluid Mechanics by Vennard, 7th Edition.' Designed to aid students in understanding fundamental fluid dynamics principles, it serves as an invaluable resource for mastering concepts and preparing for examinations. Whether you're studying fluid mechanics or need to verify your problem-solving approaches, this 7th edition solution guide offers clarity and accuracy for the acclaimed Vennard textbook.

fundamentals of fluid mechanics 6th edition solution manual

fundamentals of fluid mechanics 6th edition solution manual

Unlock a deeper understanding of fluid mechanics with this essential solution manual for the 6th edition of Fundamentals of Fluid Mechanics. Designed to help students master complex concepts, this guide provides detailed, step-by-step solutions to problems, enhancing learning and aiding in exam preparation for challenging fluid dynamics principles.

Vector Mechanics For Engineers Solution Manual 9th Edition

Vector Mechanics For Engineers Solution Manual 9th Edition

This solution manual for the 9th Edition of Vector Mechanics for Engineers provides comprehensive, step-by-step solutions to all textbook problems. It's an indispensable resource for engineering students seeking to master fundamental concepts in statics and dynamics, offering clear explanations and practical problem-solving techniques essential for academic success and thorough understanding of complex engineering principles.

solution manual for arora soil mechanics and foundation engineering

solution manual for arora soil mechanics and foundation engineering

Unlock a deeper understanding of geotechnical principles with the official solution manual for Arora's Soil Mechanics and Foundation Engineering. This essential resource provides comprehensive, step-by-step solutions to textbook problems, aiding students and professionals in mastering complex concepts and excelling in their studies or practical applications within the field.

beer and johnson vector mechanics solution manual

beer and johnson vector mechanics solution manual

Access comprehensive solutions for Beer and Johnson's acclaimed Vector Mechanics textbook. This solution manual provides detailed, step-by-step answers for problems in both Statics and Dynamics, making it an essential resource for students and educators seeking to master engineering mechanics concepts.

chemical engineering fluid mechanics solution manual

chemical engineering fluid mechanics solution manual

Looking for a comprehensive solution manual for Chemical Engineering Fluid Mechanics? This resource provides detailed solutions to various problems and exercises, making it an invaluable tool for students and professionals alike. Master the concepts of fluid dynamics, transport phenomena, and related principles within the context of chemical engineering with our expertly crafted solutions.

fundamentals of fluid mechanics munson solution manual

fundamentals of fluid mechanics munson solution manual

Explore the comprehensive solution manual for Munson's Fundamentals of Fluid Mechanics, designed to aid students and instructors in mastering essential fluid mechanics concepts. This resource provides step-by-step solutions to problems, enhancing understanding and problem-solving skills for various engineering applications, from basic principles to advanced fluid dynamics.