Dataset Browser

Com Geometry Practise Answers Lets

Com Geometry Practise Answers Lets

Looking for Com Geometry practice answers? This guide provides comprehensive solutions and explanations for common geometry problems. Whether you're struggling with specific exercises or need a general review, we offer step-by-step assistance to help you master geometric concepts and improve your understanding of Com Geometry exercises. Explore our resources and enhance your problem-solving skills in geometry.

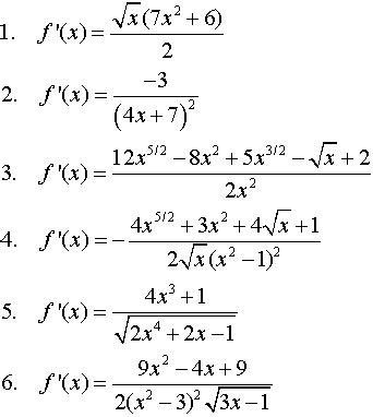
Calculus Derivative Problems And Solutions

Calculus Derivative Problems And Solutions

Master the complexities of calculus with our extensive collection of derivative problems and solutions. Whether you're seeking to understand basic differentiation exercises or tackle advanced challenges, this resource provides clear, step-by-step guidance to help you solve derivatives effectively and boost your understanding of calculus concepts.

Sample Space Worksheet With Answers

Sample Space Worksheet With Answers

Boost your understanding of probability concepts with our comprehensive Sample Space Worksheet, complete with detailed answers. This essential resource offers a variety of practice problems designed to help students master identifying and listing outcomes for different events, making complex probability topics clearer and more accessible for effective learning.

Worksheet Oxidation Reduction Reaction Answers

Worksheet Oxidation Reduction Reaction Answers

Explore comprehensive answers to common oxidation reduction reaction problems with this essential worksheet. Designed for chemistry students, it offers detailed solutions and explanations to help solidify understanding of redox principles, balancing equations, and identifying electron transfer processes, making it a perfect study aid for mastering these fundamental chemical concepts.

General Acid And Base Homework Answers

General Acid And Base Homework Answers

Looking for comprehensive solutions to your acid and base homework questions? Our guide provides clear, step-by-step answers for general chemistry topics, covering concepts like pH calculations, strong and weak acids, neutralization reactions, and conjugate pairs. Master your understanding of acids and bases with our detailed explanations and practice problem solutions designed to help you ace your assignments.

american mathematics competitions amc 8 preparation volume 1

american mathematics competitions amc 8 preparation volume 1

Master the fundamentals for the American Mathematics Competitions (AMC 8) with this comprehensive preparation guide, Volume 1. Ideal for middle school students, this resource offers targeted practice problems and essential strategies, ensuring a solid foundation to excel in math competition challenges and boost your problem-solving skills.

accounting principles exercise solutions

accounting principles exercise solutions

Master fundamental accounting principles with our comprehensive collection of exercise solutions. This resource provides step-by-step answers to various financial accounting practice problems, helping students and professionals solidify their understanding and excel in their studies or work. Get the accounting homework help you need to confidently tackle any challenge.

chemquest 24 more lewis structures answers haidaoore

chemquest 24 more lewis structures answers haidaoore

Explore comprehensive answers for Chemquest 24, focusing specifically on Lewis Structures. This resource provides detailed solutions and explanations to help students master the complexities of drawing Lewis dot structures and understanding molecular geometry in chemistry. Perfect for practice problems and reinforcing key concepts in covalent bonding.

Worksheet Density Answer For Key

Worksheet Density Answer For Key

Unlock a deeper understanding of density concepts with this comprehensive density worksheet answer key. Perfect for students seeking to verify their density calculations or for educators needing a reliable resource, this solution guide covers essential mass-volume-density answers and helps reinforce principles of matter, ensuring accurate self-assessment and effective learning for various density practice problems.

Paul A Foerster Calculus Concepts And Applications Answers

Paul A Foerster Calculus Concepts And Applications Answers

This resource provides comprehensive answers and detailed solutions for the 'Paul A. Foerster Calculus Concepts and Applications' textbook. Ideal for students aiming to verify their understanding, overcome challenging problems, and enhance their mathematical proficiency, it offers clear step-by-step guidance for every concept and application presented in the widely-used calculus textbook.

chemistry unit 5 stoichiometry practice problems i

chemistry unit 5 stoichiometry practice problems i

Explore a comprehensive set of stoichiometry practice problems for chemistry unit 5, designed to solidify your understanding of chemical reactions and quantitative relationships. This Part I collection focuses on essential stoichiometry calculations, offering valuable exercises to master the mole concept and related chemical principles.

Calculus 3 Final Exam Solutions

Calculus 3 Final Exam Solutions

Master your Multivariable Calculus final exam with our comprehensive Calculus 3 Final Exam Solutions. This resource provides detailed answers and step-by-step explanations for typical Calc 3 practice problems, covering essential topics like partial derivatives, multiple integrals, and vector calculus. Use this ultimate Calculus 3 study guide to confidently prepare for your upcoming assessment and reinforce your understanding.

Moles Calculation Quiz Answers Key

Moles Calculation Quiz Answers Key

Access the definitive answers key for your Moles Calculation Quiz to verify your understanding of fundamental chemistry calculations. This essential resource provides accurate solutions to common moles practice problems, helping students confidently review their work and grasp core stoichiometry concepts. Ensure you're on the right track with this comprehensive chemistry quiz guide.

Ap Biology Problems Genetics Answers

Ap Biology Problems Genetics Answers

Struggling with AP Biology genetics problems? Find comprehensive solutions and explanations to common genetics questions encountered in the AP Biology curriculum. This resource provides step-by-step answers, practice problems, and helpful strategies to master genetics concepts and improve your understanding of inheritance, DNA, and gene expression for exam success.