Dataset Browser

the specific heat of matter at low temperatures

the specific heat of matter at low temperatures

The study of specific heat of matter at low temperatures is a fundamental area in physics, revealing unique behaviors that deviate significantly from classical predictions. At cryogenic conditions, the heat capacity of materials often shows quantum mechanical effects, providing critical insights into their fundamental thermal properties. This research is vital for understanding condensed matter physics and developing advanced materials for various technological applications.

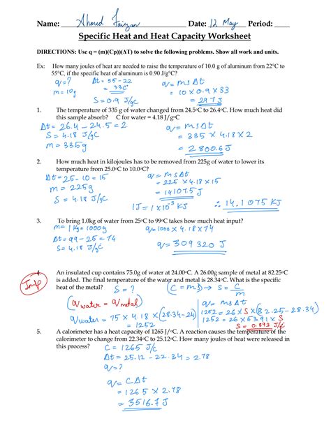
Specific Heat Worksheets With Answers

Specific Heat Worksheets With Answers

Master the concepts of specific heat with our comprehensive collection of worksheets, all complete with detailed answers. Perfect for students tackling specific heat calculations, thermal energy problems, and understanding heat capacity, these practice problems offer invaluable support for your physics or chemistry studies.

Thermophysical Properties Of Matter Volume 4 Specific Heat Metallic Elements And Alloys

Thermophysical Properties Of Matter Volume 4 Specific Heat Metallic Elements And Alloys

Explore comprehensive data on the thermophysical properties of metallic elements and alloys, specifically focusing on their specific heat capacity. This essential reference provides critical information for researchers, engineers, and students in materials science, thermodynamics, and industrial applications requiring precise thermal properties of metals.