Dataset Browser

The Navy Lark Starring Leslie Phillips Jon Pertwee Amp Stephen Murray Bbc Radio Collection

The Navy Lark Starring Leslie Phillips Jon Pertwee Amp Stephen Murray Bbc Radio Collection

Dive into the hilarious world of 'The Navy Lark,' a beloved BBC Radio comedy from the BBC Radio Collection. Featuring an iconic cast including the legendary Leslie Phillips, Jon Pertwee, and Stephen Murray, this classic British radio series delivers timeless naval mishaps and witty dialogue, guaranteeing laughter for fans of vintage audio entertainment.

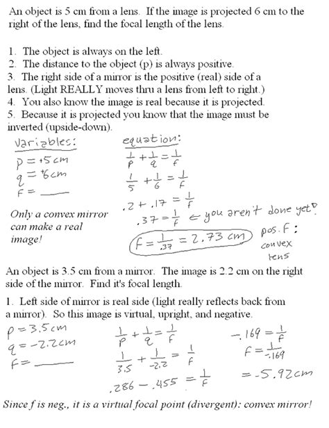
Stephen Murray Optics Answer

Stephen Murray Optics Answer

Discover the definitive Stephen Murray Optics answer to superior vision and unparalleled clarity. Our collection of Murray eyewear solutions combines cutting-edge performance optical gear with innovative design, ensuring you find the perfect match for demanding lifestyles. Experience the future of sight with our premium optics technology, where every product is crafted to provide an innovative vision answer.

Stephen Murray Standing Waves Answers

Stephen Murray Standing Waves Answers

Explore comprehensive answers and detailed explanations regarding Stephen Murray's insights on standing waves. This resource provides clear standing wave solutions, delves into core physics wave concepts, and offers in-depth responses to wave superposition answers, making complex Murray physics questions accessible and understandable for students and educators alike.

stephen murray sound answer key

stephen murray sound answer key

Looking for the Stephen Murray Sound Answer Key? This resource provides solutions and answers to Stephen Murray's physics worksheets on sound. Find comprehensive solutions for understanding sound waves, properties of sound, and related physics concepts. Whether you're a student struggling with the material or a teacher looking for answer keys, this is a valuable resource for mastering Stephen Murray's physics sound curriculum.