Dataset Browser

solutions to selected problems in brockwell and davis

solutions to selected problems in brockwell and davis

This resource provides comprehensive solutions to selected problems presented in the renowned works of Brockwell and Davis. Designed for students and researchers, it offers clear, step-by-step explanations, helping users to deeply understand complex concepts and effectively master problem-solving techniques in advanced statistical or time series contexts.

Fiddle Time Joggers Violin Cd 1

Fiddle Time Joggers Violin Cd 1

Enhance your violin practice with the Fiddle Time Joggers Violin CD 1, specifically designed for beginner violinists. This essential audio companion provides lively backing tracks and performances for all pieces in the Joggers book, making learning enjoyable and effective. Perfect for students working through the Fiddle Time series, Volume 1 offers a valuable resource for developing rhythm and musicality.

towers of midnight wheel of time

towers of midnight wheel of time

Dive into *Towers of Midnight*, the penultimate book in Robert Jordan's monumental *Wheel of Time* series, expertly completed by Brandon Sanderson. This pivotal novel plunges deeper into the intricate political landscape and intense personal struggles of its beloved characters, bringing them closer to the prophesied Last Battle. A compelling read for epic fantasy enthusiasts.

Analysis And Modelling Of Discrete Dynamical Systems

Analysis And Modelling Of Discrete Dynamical Systems

This field explores the analysis and modelling of discrete dynamical systems, focusing on how system states evolve over distinct time steps. It involves developing mathematical models to predict, understand, and simulate the behavior of systems where changes occur discontinuously, often applied in areas like population dynamics, economics, and computer science.

Data Mining In Time Series And Streaming Databases

Data Mining In Time Series And Streaming Databases

Explore the critical aspects of data mining within time series and streaming databases, uncovering how advanced techniques are applied to continuously flowing data. This field focuses on extracting valuable patterns, anomalies, and insights from real-time and sequential information, essential for predictive modeling, anomaly detection, and enabling instantaneous decision-making across various industries.

The Analysis Of Time Series Cross Sectional Data

The Analysis Of Time Series Cross Sectional Data

Dive into the comprehensive analysis of time series cross sectional data, a powerful statistical approach often referred to as panel data analysis or longitudinal data. This method examines observations for multiple subjects across various time periods, offering deeper insights into dynamic relationships and individual-specific effects than purely cross-sectional or time-series analyses. Mastering these data analysis methods is essential for researchers and practitioners in fields like econometrics, social sciences, and public health to accurately model and predict complex phenomena.

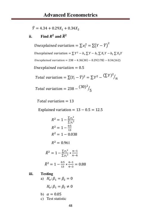
advanced econometrics

advanced econometrics

Dive deep into advanced econometrics, exploring sophisticated statistical methods essential for rigorous economic analysis. This field covers complex topics like time series modeling, panel data analysis, and advanced techniques for causal inference, empowering researchers to extract robust insights from intricate economic datasets and build predictive models with greater accuracy.

Statistical Modeling By Wavelets

Statistical Modeling By Wavelets

Explore the powerful realm of statistical modeling by leveraging wavelet analysis, a robust technique for decomposing complex data into different frequency components. This approach significantly enhances data insights for applications like time series analysis, non-parametric regression, and noise reduction, providing a more detailed and localized understanding of underlying patterns.

Multidimensional Second Order Stochastic Processes

Multidimensional Second Order Stochastic Processes

Explore multidimensional second order stochastic processes, which model random systems evolving with multiple interacting variables. These processes are defined by their mean and covariance functions, offering critical insights into complex dependencies and predictive analysis across diverse scientific and engineering disciplines.

Nonlinear Dynamics And Time Series Building A Bridge Between The Natural And Statistical Sciences

Nonlinear Dynamics And Time Series Building A Bridge Between The Natural And Statistical Sciences

Explore the crucial intersection of Nonlinear Dynamics and Time Series, highlighting how these fields form a vital bridge between the natural and statistical sciences. This interdisciplinary approach offers powerful methodologies for understanding complex phenomena and making data-driven predictions across diverse scientific domains.

chapter 6 maximum likelihood analysis of dynamic

chapter 6 maximum likelihood analysis of dynamic

Dive into Chapter 6, meticulously exploring the principles and applications of Maximum Likelihood Analysis for Dynamic Models. This section provides a comprehensive guide to performing robust parameter estimation and statistical inference on systems that evolve over time, offering critical methodologies for researchers and practitioners in various quantitative fields. Understand how to effectively apply Maximum Likelihood Estimation to complex dynamic processes, enhancing model accuracy and predictive power.